Electric Field due to an Infinite Plane sheet of Charge - Physics Class 12
Electric Field due to an Infinite Plane sheet of Charge—
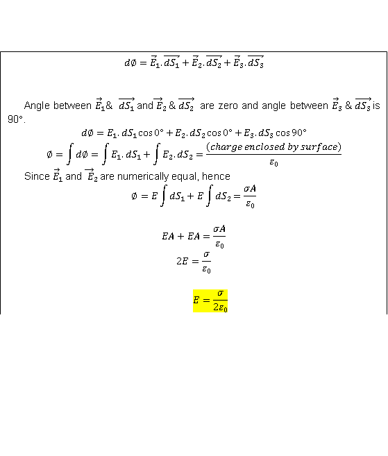
Let us consider an infinite thin plate of positive charge having an uniform surface charge density
on both side of the sheet.
Electric field is normal to the plane sheet of charge and directed in outward direction.
Let us assume a cylindrical Gaussian surface of area of cross section ‘A’ through the point P. then,


Class:
Subject: